Toggle navigation
Browse
Submit Substance
login / register
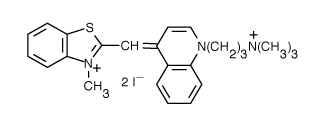
TO-PRO-1
Basic Info
Spectra
Quantum Yields
Lifetimes
Availabilities
Applications
Basic Information
Common name(s):
TO-PRO-1
IUPAC name:
CAS number:
157199-59-2
Chemical Formula:
C24H29I2N3S
Molecular Weight:
645.38g / Mol
Substance Class:
Description:
Spectra of dye bound to DNA
Overview
Exitation λ
max
515 nm
Emission λ
max
531 nm
Solvent
DNA
add to spectra list
download csv
Exitation
λ
max
515 nm
Emission wavelength
-
Instrument
Emission
λ
max
531 nm
Spectral correction
yes
Excitation wavelength
-
Instrument
More parameters
Solvent
DNA
Temperature
-
spectra uploaded by Torsten Mayr
Quantum Yields
Quantum Yield:
25%
Method:
Absolute
Standard:
Instrument:
Solvent:
pH Value:
Temperature:
Reference:
DOI:
new quantum yield
Lifetimes
No lifetimes information yet.
new lifetime
Availabilities
Type:
Commercial
Name:
Molecular Probes
Web address:
http://www.invitrogen.com
E-mail:
new availability
Applications
No applications information yet.
new application
About
Contact
Disclaimer
© SG3 Knowledge Network OG