Toggle navigation
Browse
Submit Substance
login / register
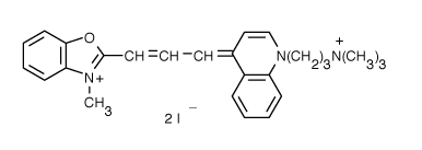
YO-PRO-3
Basic Info
Spectra
Quantum Yields
Lifetimes
Availabilities
Applications
Basic Information
Common name(s):
YO-PRO-3
:
Quinolinium, 4-[3-(3-methyl-2(3H)-benzoxazolylidene)-1-propenyl]-1-[3-(trimethylammonio)propyl]-, diiodide
IUPAC name:
CAS number:
157199-62-7
Chemical Formula:
C26H31I2N3O
Molecular Weight:
655.36g / Mol
Substance Class:
Description:
bound to DNA abs
Overview
Exitation λ
max
613 nm
Emission λ
max
629 nm
Solvent
DNA
add to spectra list
download csv
Exitation
λ
max
613 nm
Emission wavelength
-
Instrument
Emission
λ
max
629 nm
Spectral correction
yes
Excitation wavelength
-
Instrument
More parameters
Solvent
DNA
Temperature
-
spectra uploaded by Torsten Mayr
Quantum Yields
Quantum Yield:
16%
Method:
Standard:
Instrument:
Solvent:
pH Value:
Temperature:
Reference:
DOI:
new quantum yield
Lifetimes
No lifetimes information yet.
new lifetime
Availabilities
Type:
Commercial
Name:
Invitrogen -Molecular Probe
Web address:
http://www.invitrogen.com
E-mail:
new availability
Applications
Application:
Nucleic acid stain
Reference:
DOI:
new application
About
Contact
Disclaimer
© SG3 Knowledge Network OG