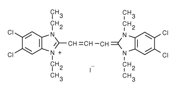
JC-1

Basic Information

structure
JC-1
5,5\\ ,6,6\\ -tetrachloro-1,1\\ ,3,3\\ - tetraethylbenzimidazolylcarbocyanine iodide
47729-63-5
C25H27Cl4IN4
652.23g / Mol
0

Overview

499 nm, 593 nm
896 nm, 746 nm, 595 nm
H 8.2 buffer 1 percent DMSO

Exitation

499 nm, 593 nm
-

Emission

896 nm, 746 nm, 595 nm
yes
-

More parameters

H 8.2 buffer 1 percent DMSO
-

spectra uploaded by Torsten Mayr

Provide more Spectra

Quantum Yields

No quantum yields information yet.

Lifetimes

No lifetimes information yet.

Availabilities

Commercial
Invitrogen - Molecular Probes
http://www.invitrogen.com

Applications

No applications information yet.