Toggle navigation
Browse
Submit Substance
login / register
BODIPY TR-X
Basic Info
Spectra
Quantum Yields
Lifetimes
Availabilities
Applications
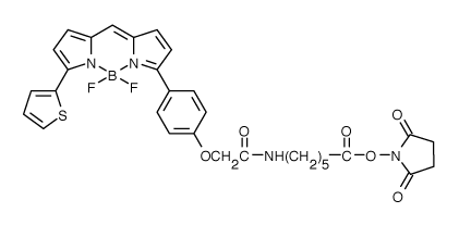
Basic Information
Common name(s):
BODIPY TR-X
:
6-(((4-(4,4-difluoro-5-(2-thienyl)-4-bora-3a,4a-diaza- s-indacene-3-yl)phenoxy)acetyl)amino)hexanoic acid, succinimidyl ester
IUPAC name:
CAS number:
217190-13-1
Chemical Formula:
C31H29BF2N4O6S
Molecular Weight:
634.46g / Mol
Substance Class:
Description:
References
1
Traverso G, Diehl F, Hurst R, Shuber A, Whitney D, Johnson C, Levin B, Kinzler KW, Vogelstein B Nat Biotechnol 2003; (21):9 1093-1097
2
Danell AS, Parks JH J Am Soc Mass Spectrom 2003; (14):12 1330-1339
3
Krüger P, Baatz JE, Dluhy RA, Lösche M Biophys Chem 2002; (99):3 209-228
Overview
Absorption λ
max
312 nm, 588 nm
Emission λ
max
621 nm
Solvent
methanol
Molar Abs. Coefficient
68000 M
-1
cm
-1
add to spectra list
download csv
Absorption
λ
max
312 nm, 588 nm
Molar Abs. Coefficient
68000 M
-1
cm
-1
Instrument
Emission
λ
max
621 nm
Spectral correction
yes
Excitation wavelength
-
Instrument
More parameters
Solvent
methanol
Temperature
-
spectra uploaded by Torsten Mayr
Quantum Yields
No quantum yields information yet.
new quantum yield
Lifetimes
No lifetimes information yet.
new lifetime
Availabilities
Type:
Commercial
Name:
Molecular Probes, Inc.
Web address:
http://probes.invitrogen.com
E-mail:
probestech@invitrogen.com
new availability
Applications
No applications information yet.
new application
About
Contact
Disclaimer
© SG3 Knowledge Network OG