Toggle navigation
Browse
Submit Substance
login / register
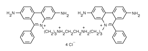
ethidium homodimer-1
Basic Info
Spectra
Quantum Yields
Lifetimes
Availabilities
Applications
Basic Information
Common name(s):
ethidium homodimer-1
IUPAC name:
CAS number:
61926-22-5
Chemical Formula:
C46H50Cl4N8
Molecular Weight:
856.77g / Mol
Substance Class:
Description:
ethidium homodimer-1 bound to DNA
Overview
Absorption λ
max
528 nm
Emission λ
max
617 nm
Solvent
Molar Abs. Coefficient
-
add to spectra list
download csv
Absorption
λ
max
528 nm
Molar Abs. Coefficient
-
Instrument
Emission
λ
max
617 nm
Spectral correction
yes
Excitation wavelength
-
Instrument
More parameters
Solvent
Temperature
-
spectra uploaded by Torsten Mayr
Quantum Yields
No quantum yields information yet.
new quantum yield
Lifetimes
No lifetimes information yet.
new lifetime
Availabilities
Type:
Commercial
Name:
Molecular Probes, Inc.
Web address:
http://probes.invitrogen.com
E-mail:
probestech@invitrogen.com
new availability
Applications
No applications information yet.
new application
About
Contact
Disclaimer
© SG3 Knowledge Network OG